Jenoptik VarioCAM hr research 780

A termográfia elmélete

    Sugárfizikai alapok
    Valós mérési körülmények
    Méréstechnikai áttekintés

Alkalmazási területek

Termográfiai eszközök

Szolgáltatások

Szakmai előadások

Hőkép-galéria

Szakmai publikációk

Aktuális időpontok



Copyright: Rahne Eric 2007-20260
webmaster: er



Jogi nyilatkozat

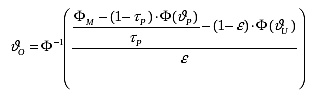
A termográfiai alapegyenlet

Az érintés nélküli hőmérsékletmérés esetén a mérési körülmények (pl. a levegő átviteli tulajdonsága), a mérendő tárgy sugárfizikai tulajdonságai (emisszió, reflexió, transzmisszió), valamint a mérőeszköz mérésre gyakorolt hatása matematikai módon korrigálandó. Az előbbi két paramétercsoport (környezet és tárgy) figyelembevételére szolgál a termográfiai alapegyenlet

Termográfai alapegyenlet

Ahogy ez a matematikai egyenlet érzékelteti, a következő paramétereket szintén figyelembe kell venni a tárgy hőmérsékletének számításánál (a mért sugárzási intenzitásból kiindulva):

ε a mért tárgy emissziós tényezője
ϑU a környezet hőmérséklete
ΤP a mérési útvonal átviteli tényezője
ϑP a mérési útvonal hőmérséklete

Gyakran a mérési útvonal olyan rövid, hogy nincs számottevő befolyása az infravörös sugárzásra, így az egyenlet a következőképpen alakul:

Termográfai egyenlet rövid szakasz esetén

Itt a környezeti hőmérséklet szól bele a mérhető sugárzási intenzitásba, amennyiben az emissziós tényező 1-től különböző. Ilyenkor tehát feltétlenül figyelembe kell venni a korrekciós számítás során az emissziós tényező befolyását.

Az ideális fekete test estében pedig az egyenlet tovább egyszerűsödik és csak a mérőberendezés hőmérséklet karakterisztikájának inverz függvényét tartalmazza. A környezeti hőmérséklet nem számít bele a mért hőmérsékletbe.

Termográfai egyenlet rövid szakasz esetén


VISSZA    TOVÁBB

A weboldal tartalmát szerzői jogok védik, ezért az írások, ábrák, valamint hő- és fényképek másolása, tárolása és publikációja csak a szerző előzetes írásos engedélyével megengedett.